中文| English
上海青越软件有限公司
您当前所在位置 >> 首页 >> CAD >> 当前页面

高速PCB串扰分析及其最小化

        1.引言
        随着电子产品功能的日益复杂和性能的提高,印刷电路板的密度和其相关器件的频率都不断攀升,保持并提高系统的速度与性能成为设计者面前的一个重要课题。信号频率变高,边沿变陡,印刷电路板的尺寸变小,布线密度加大等都使得串扰在高速PCB设计中的影响显著增加。串扰问题是客观存在,但超过一定的界限可能引起电路的误触发,导致系统无法正常工作。设计者必须了解串扰产生的机理,并且在设计中应用恰当的方法,使串扰产生的负面影响最小化。

        2.高频数字信号串扰的产生及变化趋势
        串扰是指当信号在传输线上传播时,相邻信号之间由于电磁场的相互耦合而产生的不期望的噪声电压信号,即能量由一条线耦合到另一条线上。
        如图1所示,为便于分析,我们依照离散式等效模型来描述两个相邻传输线的串扰模型,传输线AB和CD的特性阻抗为Z0,且终端匹配电阻R=Z0。如果位于A点的驱动源为干扰源,则A—B间的线网称为干扰源网络(Aggressor line),C—D之间的线网被称为被干扰网络(Victim line),被干扰网络靠近干扰源网络的驱动端的串扰称为近端串扰(也称后向串扰),而靠近干扰源网络接收端方向的串扰称为远端串扰(也称前向串扰)。串扰主要源自两相邻导体之间所形成的互感Lm和互容Cm。

        2.1感性耦合
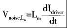
        在图1中,先只考虑互感Lm引起的感性耦合。线路A到B上传输的信号的磁场在线路C到D上感应出电压,磁耦合的作用类似一个变压器,由于这是个分布式的传输线,所以互感也变成一连串的变压器分布在两个相邻的并行传输线上。当一个电压阶跃信号从A移动到B,每个分布在干扰线上的变压器会依序感应一个干扰尖脉冲出现在被干扰网络上。互感在被干扰网络上叠加的这个电压噪声,其大小跟干扰网络上驱动电流的变化成正比。由互感产生的噪声计算公式为



        值得注意的是,耦合变压器每一段的互感耦合的极性是不同的,这些感应到被干扰网路的干扰能量依序前向和后向,但极性相反,沿着传输线CD分别往C和D点行进。

        如图2所示,往C方向的前向干扰能量,是和入射电压及每个互感分量Lm成正比,因为所有前向干扰能量几乎同时抵达C点,所以前向干扰能量与两传输线的互感总量成正比,传输线平行的长度越长,所产生的互感总量就越大,前向干扰能量也随即增加;然而往D点的后向干扰能量与往C点的前向干扰能量不同的是,虽然两者耦合的总区域是一样的,但每个互感变压器所感应的干扰分量是依序到达D,后向干扰能量的有效时间长达2Tp(Tp为传播延时),随着线路平行长度的延长(即互感增加),后向串扰的幅度大小是不会变化的,而持续时间会增加。

        2.2容性耦合
        互容是产生串扰的另一个机制。互容Cm会对被干扰网络产生一个感应电流,该电流正比于干扰网络上电压的变化速率,由互容Cm产生的噪声计算公式为:

        分布式耦合电容的耦合机制和分布式电感耦合相类似,区别在于耦合的极性。如图3所示,互容耦合的前向和后向干扰能量的极性都是正的。

转自:互联网

 
My JSP 'RightDH.jsp' starting page

青越锋公司简介        教程下载

青越锋软件简介        客户服务

PDF及视频下载        技术问答

青越软件使用技巧

新闻发布    行业动态    论坛

CAE   CAD    CAM   DFM

DFT   CAT   电子元件

 
 
 
 
 
 
 
                         
                         
      copyright ©2008-2009 上海青越软件有限公司 All  rights  reserved    沪ICP备20021564号
             关于青越 | 联系我们 | 友情链接 | 工作机会 | 刊登广告 | 客户服务